目录
第一部分部门概况
一、部门职责
二、机构设置
第二部分2024年度部门决算表
一、收入支出决算总表
二、收入决算表
三、支出决算表
四、财政拨款收入支出决算总表
五、一般公共预算财政拨款支出决算表
六、一般公共预算财政拨款基本支出决算明细表
七、政府性基金预算财政拨款收入支出决算表
八、国有资本经营预算财政拨款支出决算表
九、财政拨款“三公”经费支出决算表
第三部分2024年度部门决算情况说明
一、收入支出决算总体情况说明
二、收入决算情况说明
三、支出决算情况说明
四、财政拨款收入支出决算总体情况说明
五、一般公共预算财政拨款支出决算情况说明
六、一般公共预算财政拨款基本支出决算情况说明
七、政府性基金预算财政拨款收支决算情况说明
八、国有资本经营预算财政拨款支出情况说明
九、财政拨款“三公”经费支出决算情况说明
十、机关运行经费支出情况说明
十一、政府采购支出情况说明
十二、国有资产占用情况说明
十三、其他需要说明的情况
第四部分预算绩效情况说明
第五部分名词解释
第一部分 部门概况
一、部门职责
1.贯彻执行党和国家的教育方针、政策和法规,制定计划、办法和具体措施;负责全县教育系统党的建设、思想政治建设和意识形态工作。
2.研究提出全县教育改革和发展战略,拟订全县教育事业发展的中长期规划和年度计划;确定教育体制机制改革的措施和教育事业发展的重点、规模和步骤;指导协调教育规划、计划的实施。
3.统筹管理全县基础教育、职业教育、成人教育和民办教育;负责中小学、幼儿园的设置与调整;负责全县语言文字规范化工作。
4.负责管理教育经费、教育基建投资;会同有关部门拟定筹措教育经费、教育拨款、教育基建投资办法和措施的制定;监督全县教育经费的筹措和使用,指导和监督学校执行批准的教育经费收费项目和标准。
5.指导全县学校实施内部管理体制改革、教育人事制度改革和收入分配制度改革;会同有关部门做好教育系统职称改革和专业技术职务评聘工作;负责人事劳资、教师培训及教师专业发展工作;负责实施教师资格制度,统筹规划学校教师和管理人员队伍建设工作。
6.指导中小学开展德育、智育、体育、美育、劳动教育及各类专题教育工作;指导学校精神文明建设、团工委及少先队和妇工委工作;指导青少年校外活动管理工作。
7.负责学校基础设施建设和改造、校舍安全工程实施、薄弱学校基本办学条件项目的规划与实施、校方责任保险、校产管理等工作;负责组织全县农村义务教育学生营养改善计划和中小学校车安全工程的实施,统筹协调全县专用校车安全管理工作。
8.贯彻执行国家和省、市有关学校招生工作的政策规定,负责招生考试录取工作。
9.负责全县教育宣传及负责教育基本信息的统计、分析和发布;负责行政执法、教育系统社会治安综合治理和安全管理工作。
10.完成县委、县政府和市教育局交办的其他任务。
二、机构设置
1.机关内设机构
临泽县教育局下设办公室、基础教育股、职成民办教育股、项目审计股等4个内设机构,行政编制7名;2024年底在编人数6人。
2.直属事业单位
临泽县教育局直属临泽县人民政府教育督导室(参公单位)、临泽县教育发展(信息)中心、临泽县学生资助管理中心、临泽县招生工作办公室、临泽县青少年校外活动中心等1个参公单位和4个事业单位,参公编制5名,事业编制26名;2024年在编人数,参公人员3人,专技人员25人。
中小学及幼儿园23个:临泽县第一中学、临泽县职业技术教育中心、临泽县第二中学、临泽县第三中学、临泽县第四中学、临泽县城关小学、临泽县五三小学、临泽县滨河小学、临泽县西关小学、临泽县新华农场小学、临泽县实验小学、临泽县第一幼儿园、临泽县第二幼儿园、临泽县滨河幼儿园、临泽县实验幼儿园、临泽县西关幼儿园、临泽县新华镇中心小学、临泽县蓼泉镇中心小学、临泽县平川镇中心小学、临泽县板桥镇中心小学、临泽县鸭暖镇中心小学、临泽县倪家营镇中心小学、临泽县鸭暖镇华强中心小学等校园均为全额拨款事业单位。
第二部分 2024年度部门决算表
一、收入支出决算总表

二、收入决算表

三、支出决算表

四、财政拨款收入支出决算总表

五、一般公共预算财政拨款支出决算表

六、一般公共预算财政拨款基本支出决算明细表

七、政府性基金预算财政拨款收入支出决算表

八、国有资本经营预算财政拨款支出决算表

九、财政拨款“三公”经费支出决算表

第三部分2024年度部门决算情况说明
一、收入支出决算总体情况说明
2024年度收、支总计均为43277.50万元。与上年度相比,收、支总计各增加2188.22万元,增长5.33%,主要原因是本年度学校项目资金增加。
二、收入决算情况说明
2024年度收入合计43271.00万元,其中:财政拨款收入42380.95万元,占97.94%;事业收入448.01万元,占1.04%;其他收入442.03万元,占1.02%。
三、支出决算情况说明
2024年度支出合计43265.56万元,其中:基本支出31403.09万元,占72.58%;项目支出11862.46万元,占27.42%。
四、财政拨款收入支出决算总体情况说明
2024年度财政拨款收、支总计均为42380.95万元。与上年相比,各增加1944.42万元,增长4.81%。主要原因是本年度项目资金增加。
五、一般公共预算财政拨款支出决算情况说明
(一)一般公共预算财政拨款支出决算总体情况
2024年度一般公共预算财政拨款支出42329.03万元,较上年决算数增加2893.31万元,增长7.34%。主要原因是本年度项目资金支出增加。
(二)一般公共预算财政拨款支出决算结构情况
2024年度一般公共预算财政拨款支出42329.03万元,主要用于以下方面:一般公共服务支出1660.42万元,占3.92%;教育支出32792.09万元,占77.47%;科学技术支出25.00万元,占0.06%;文化旅游体育与传媒支出34.91万元,占0.08%;社会保障和就业支出3072.39万元,占7.26%;卫生健康支出1894.52万元,占4.48%;住房保障支出2849.71万元,占6.73%。
(三)一般公共预算财政拨款支出决算具体情况
2024年度一般公共预算财政拨款支出年初预算为40997.17万元,支出决算为42329.03万元,完成年初预算的103.25%。其中:
1.一般公共服务支出年初预算数为266.52万元,支出决算为1660.42万元,完成年初预算的623.01%,决算数大于预算数的主要原因是本年度项目资金支出增加。
2.外交支出年初预算数为0.00万元,支出决算为0.00万元,完成年初预算的0.00%。
3.国防支出年初预算数为0.00万元,支出决算为0.00万元,完成年初预算的0.00%。
4.公共安全支出年初预算数为0.00万元,支出决算为0.00万元,完成年初预算的0.00%。
5.教育支出年初预算数为33119.19万元,支出决算为32792.09万元,完成年初预算的99.01%,决算数小于预算数的主要原因是是因教职工退休,人员减少,教育支出实际支出数减少。
6.科学技术支出年初预算数为0.00万元,支出决算为25.00万元,完成年初预算的0.00%。
7.文化旅游体育与传媒支出年初预算数为2.91万元,支出决算为34.91万元,完成年初预算的1201.47%,决算数大于预算数的主要原因是相关校园乡村少年宫建设资金增加。
8.社会保障和就业支出年初预算数为3120.35万元,支出决算为3072.39万元,完成年初预算的98.46%,决算数小于预算数的主要原因是因教职工退休,人员减少,社会保障和就业支出实际支出数减少。
9.卫生健康支出年初预算数为2025.51万元,支出决算为1894.52万元,完成年初预算的93.53%,决算数小于预算数的主要原因是因教职工退休,人员减少,社会保障和就业支出实际支出数减少。
10.节能环保支出年初预算数为0.00万元,支出决算为0.00万元,完成年初预算的0.00%。
11.城乡社区支出年初预算数为0.00万元,支出决算为0.00万元,完成年初预算的0.00%。
12.农林水支出年初预算数为0.00万元,支出决算为0.00万元,完成年初预算的0.00%。
13.交通运输支出年初预算数为0.00万元,支出决算为0.00万元,完成年初预算的0.00%。
14.资源勘探工业信息等支出年初预算数为0.00万元,支出决算为0.00万元,完成年初预算的0.00%。
15.商业服务业等支出年初预算数为0.00万元,支出决算为0.00万元,完成年初预算的0.00%。
16.金融支出年初预算数为0.00万元,支出决算为0.00万元,完成年初预算的0.00%。
17.自然资源海洋气象等支出年初预算数为0.00万元,支出决算为0.00万元,完成年初预算的0.00%。
18.住房保障支出年初预算数为2462.70万元,支出决算为2849.71万元,完成年初预算的115.72%,决算数大于预算数的主要原因是本年新招聘教师,人数增加导致社保缴费实际支出较年初预算增加。
19.粮油物资储备支出年初预算数为0.00万元,支出决算为0.00万元,完成年初预算的0.00%。
20.灾害防治及应急管理支出年初预算数为0.00万元,支出决算为0.00万元,完成年初预算的0.00%。
21.其他支出年初预算数为0.00万元,支出决算为0.00万元,完成年初预算的0.00%。
22.债务还本支出年初预算数为0.00万元,支出决算为0.00万元,完成年初预算的0.00%。
23.债务付息支出年初预算数为0.00万元,支出决算为0.00万元,完成年初预算的0.00%。
24.抗疫特别国债安排的支出年初预算数为0.00万元,支出决算为0.00万元,完成年初预算的0.00%。
六、一般公共预算财政拨款基本支出决算情况说明
2024年度一般公共预算财政拨款基本支出30910.96万元。其中:
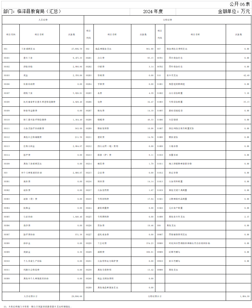
人员经费29906.66万元,较上年决算数增加2294.43万元,增长8.31%,主要原因是本年新招聘教师,人数增加导致社保缴费实际支出较年初预算增加。人员经费主要包括发放在职人员基本工资、津贴补贴、绩效工资、生活补贴、奖励金、住房公积金和对个人和家庭的补助等。
公用经费1004.30万元,较上年决算数减少399.86万元,下降28.48%,主要原因是落实过紧日子要求,压减一般性开支,校园日常运转经费减少。公用经费用途主要包括办公费、印刷费、水费、电费、维修费、劳务费、工会费、福利费、会务费、接待费、购置费、材料费等
七、政府性基金预算财政拨款收支决算情况说明
本部门2024年度无政府性基金收入,也没有使用政府性基金安排的支出。
2024年度政府性基金预算财政拨款年初结转和结余0.00万元,本年收入51.92万元,本年支出51.92万元,年末结转和结余0.00万元,用于支付被征地农民养老保险。
八、国有资本经营预算财政拨款支出情况说明
本部门2024年度没有使用国有资本经营预算安排的支出。
九、财政拨款“三公”经费支出决算情况说明
(一)“三公”经费财政拨款支出总体情况说明
2024年度“三公”经费支出全年预算数为2.43万元,支出决算为2.13万元,决算数小于预算数的主要原因是按照过紧日子要求压减一般性公用支出和“三公”经费支出只减不增要求,教育系统积极压减支出。较上年决算数减少0.71万元,下降25.03%,主要原因是本年度接受上级检查督导工作次数减少。
(二)“三公”经费财政拨款支出决算具体情况说明
1.因公出国(境)费用全年预算数为0.00万元,支出决算为0.00万元。
2.公务用车购置及运行维护费全年预算数为0.00万元,支出决算为0.00万元。
其中:1.公务用车购置费全年预算数为0.00万元,支出决算为0.00万元。
2.公务用车运行维护费全年预算数为0.00万元,支出决算为0.00万元。
3.公务接待费全年预算数为2.43万元,支出决算为2.13万元,决算数小于预算数的主要原因是按照压减一般性公用支出和“三公”经费支出只减不增要求,系统内各单位积极压减支出。较上年决算数减少0.68万元,下降24.24%,主要原因是本年度接受上级检查督导工作次数减少。
(三)“三公”经费财政拨款支出决算实物量情况
2024年度本部门因公出国(境)共计0个团组,0人;公务用车购置0辆,公务用车保有量为0辆;国内公务接待16批次179人,其中:外事接待0批次,0人;国(境)外公务接待0.00批次,0.00人。
十、机关运行经费支出情况说明
2024年度本部门机关运行经费支出51.48万元,机关运行经费机关运行经费主要用于开支本单位办公费、印刷费、水费、电费、会议费、维修费、劳务费、工会费、福利费、公务接待费、办公设备购置、专用设备购置费、材料费、信息网络购置更新费等。机关运行经费较上年决算数减少7.31万元,下降12.43%,主要原因是落实过紧日子要求,办公费、印刷费、办公设施设备购置等支出压减。
本年度会议费支出0.00万元,较上年决算数减少0.50万元,下降100.00%,主要原因是本年度教育系统内会议压减,会议费减少。
本年度培训费支出290.17万元,较上年决算数增加18.06万元,增长6.64%,主要原因是本年度国培、省培等各级各类培训项目增加。
十一、政府采购支出情况说明
2024年度本部门政府采购支出合计2063.28万元,其中:政府采购货物支出587.12万元、政府采购工程支出1263.74万元、政府采购服务支出212.42万元。授予中小企业合同金额1968.31万元,占政府采购支出总额的95.40%,其中:授予小微企业合同金额1884.55万元,占政府采购支出总额的91.34%。
十二、国有资产占用情况说明
截至2024年12月31日,本部门共有车辆0辆,其中,副部(省)级及以上领导用车0辆、主要领导干部用车0辆、机要通信用车0辆、应急保障用车0辆、执法执勤用车0辆,特种专业技术用车0辆,离退休干部用车0辆,其他用车0辆。单价100万元(含)以上设备0台(套)。
十三、其他需要说明的情况
由于决算公开表格中金额数值应当保留两位小数,公开数据为四舍五入计算结果,个别数据合计项与分项之和存在小数点后差额,特此说明。
第四部分预算绩效情况说明
一、预算绩效管理工作开展情况
根据预算绩效管理要求,本部门对2024年度一般公共预算项目支出全面开展绩效自评,共涉及资金4500万元。根据年初设定的绩效目标、确定的实施内容、工作范围、评价目标等,围绕财政支出的经济性、效率性和有效性,进行项目绩效评价。通过绩效评价,建立了相应的资金管理办法,完善了财务管理和内部控制等制度措施,有效保障了资金安全和绩效目标如期实现。
二、绩效自评结果
我部门在2024年度部门决算中反映义务教育薄弱能力改善与提升等8个项目绩效自评结果。义务教育薄弱能力改善与提升等8个项目绩效自评情况:根据年初设定的绩效目标,项目绩效自评得分为96分。项目全年预算数为4500万元,执行数为4500万元,完成预算的100%。项目绩效目标完成情况:一是义务教育薄弱能力改善与提升等8个项目绩效评价工作从部门决策、部门管理以及部门绩效三个方面,通过部门评价指标体系相关基础信息采集表进行量化打分;二是通过义务教育薄弱能力改善与提升等8个项目的执行、管理及资金使用情况,全面分析和综合评价专项资金的分配使用情况,进一步管理和使用好专项资金;三是切实提高财政资金使用效率和项目管理水平,为以后年度财政资金预算安排提供重要参考依据。
项目绩效自评情况:经过独立客观的评价,2024年度义务教育薄弱能力改善与提升等8个项目绩效评价最终绩效自评结果为“优”。
项目绩效目标完成情况:一是绩效总体目标和绩效目标值设置科学、合理,符合工作实际,所有项目均完成了年初设定的绩效目标;二是领导重视,责任分工明确,资金使用规范、科学,公用经费使用合理,严格执行补助条件和发放程序,工作落实到位,程序规范,严格落实各项规定,保障教育事业持续健康发展。
存在的主要问题及原因:一是绩效指标值的确定还需改进,年初制定绩效指标时,数量指标和质量指标值制定过小,导致年末实际数量指标和质量指标超标;二是部分项目支付进度因财政没有终审,导致全年预算资金支付率没有完成预算目标。
下一步改进措施:一是进一步细化项目目标和需求。制定详细的计划和预算,优化项目执行过程;二是完善单位财务制度和内控制度,提高财务人员业务水平;三是进一步加强项目绩效事前、事中、和事后监督管理;四是加强与财政部门沟通协调,加快资金终审流程,确保资金及时执行,进一步提升办学条件和服务对象满意度。
三、部门重点绩效评价结果
无重点绩效评价项目
第五部分 名词解释
一、财政拨款收入:指本年度从同级财政部门取得的财政拨款,包括一般公共预算财政拨款、政府性基金预算财政拨款和国有资本经营预算财政拨款。
二、事业收入:指事业单位开展专业业务活动及其辅助活动取得的收入。
三、经营收入:指事业单位在专业业务活动及其辅助活动之外开展非独立核算经营活动取得的收入。
四、其他收入:指除上述“财政拨款收入”“事业收入”、“经营收入”以外的收入。
五、使用非财政拨款结余(含专用结余):指事业单位按照预算管理要求使用非财政拨款结余弥补收支差额的金额,以及使用专用结余安排支出的金额。
六、年初结转和结余:指单位上年结转至本年使用的基本支出结转、项目支出结转和结余、经营结余。
七、结余分配:指单位按照会计制度规定缴纳的所得税、提取的专用结余以及转入非财政拨款结余的金额等。
八、年末结转和结余:指单位按有关规定结转到下年的基本支出结转、项目支出结转和结余、经营结余。
九、基本支出:指为保障机构正常运转、完成日常工作任务而发生的人员经费和公用经费。
十、项目支出:指在基本支出之外为完成特定行政任务或事业发展目标所发生的支出。
十一、经营支出:指事业单位在专业业务活动及其辅助活动之外开展非独立核算经营活动发生的支出。
十二、“三公”经费:指用一般公共预算财政拨款安排的因公出国(境)费、公务用车购置及运行维护费、公务接待费。其中,因公出国(境)费反映单位公务出国(境)的国际旅费、国外城市间交通费、住宿费、伙食费、培训费、公杂费等支出;公务用车购置费反映单位公务用车购置支出(含车辆购置税);公务用车运行维护费反映单位按规定保留的公务用车燃料费、维修费、过路过桥费、保险费、安全奖励费用等支出;公务接待费反映单位按规定开支的各类公务接待(含外宾接待)支出。
十三、机关运行经费:为保障行政单位(含参照公务员法管理的事业单位)运行用于购买货物和服务等的各项公用经费,包括办公及印刷费、邮电费、差旅费、会议费、福利费、日常维护费、专用材料及一般设备购置费、办公用房水电费、办公用房取暖费、办公用房物业管理费、公务用车运行维护费以及其他费用。